[Algorithm | Java] Topological Sorting(위상 정렬) 알고리즘
2022.12.28- -
이번 시간에는 위상정렬에 대해서 배워 보도록 하겠습니다.
1. 위상 정렬이란?
어떤 일을 하는 순서를 찾는 알고리즘으로 방향 그래프에 존재하는 각 정점들의 선행 순서를 위배하지 않으면서 모든 정점(vertex)을 나열하는 것을 말합니다.
그래프가 DAG가 아닌 경우 그래프에 대한 위상 정렬은 불가능합니다.
- 비순환 방향 그래프(DAG: Directed Acyclic Graph)에서 정점을 선형으로 정렬하는 것(순서대로 출력)
즉, 순서가 있는 task에서 순서를 찾아주는 알고리즘으로 보시면 됩니다.

그래프 방문 결과가 순서대로 출력 되어야 하기 때문에 그래프의 시작 지점과 방향이 존재해야 하고, 그래프에 cycle이 있으면 위상 정렬로 sorting(정렬)하는 것이 불가능합니다.
리스트와 같은 경우 그 자체가 순서이지만 그래프처럼 비선형적(non-linear)이지만 순서가 있는 구조에서는 이 순서를 찾아주는 알고리즘 자체를 의미하게 됩니다.
위상 정렬 예시로는 대학교 선수과목이 있습니다.

위 그림은 제가 다니는 학교의 저의 전공 선수과목 이수 체계도를 나타낸 것이며, 여기서 특정 수강과목에 선수과목이 있다면 그 선수과목부터 수강을 해야 합니다. 여기서 위상 정렬은 특정 수강과목을 위해 필요한 선수과목의 정렬입니다.
이 외에도 컴파일 작업순서 결정, git과 같은 버전 히스토리 관리, 교착 상태 탐지 등에서 위상 정렬을 사용합니다.
2. 구현 방법
2-1. In-degree 방법(BFS 방식)
[동작 방식]
- 모든 정점마다 in-degree 수를 설정한다.
- in-degree가 0인 정점은 방문한 것으로 표시하고 큐에 해당 정점을 추가한다.
- 큐가 빌 때까지 순회하며 다음 작업을 수행한다.
- 큐의 앞 요소를 dequeue()를 통해 가져와 리스트에 append한다.
- dequeue()한 정점에 인접 정점 중 방문하지 않은 정점의 indegree를 하나 감소시킨다.
- in-degree 감소 후 값이 0이면 해당 정점은 queue에 enqueue()하고 방문한 것으로 표시한다.
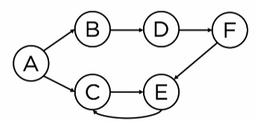
그림으로 자세히 살펴봅시다.
Queue(큐) 사용을 하게되는데 이는, 진입 차수를 계산하며 sorting하는 방식이기 때문입니다.
- 진입 차수(indegree) - 한 노드에 들어오는 다른 간선의 수
과정은 다음과 같습니다.

- 모든 vertex의 indegree 수를 세기
- 큐에 indegree가 0인 vertex를 삽입
- 자신을 향해 들어오는 edge가 없으면 출발 노드이기 때문
- 큐에서 vertex를 꺼내 연결된(나가는 방향, outdegree) edge 제거
- 3번에서 indegree가 0이 된 vertex를 큐에 삽입(enqueue)
- 큐가 빌 때까지 3~4 반복
- 만약 cycle이 존재하는 그래프라면, 모든 노드를 돌기 전에 큐가 비기 때문에 정렬이 종료된다.
위상 정렬이 불가능한 경우
- 그래프 내 cycle이 존재하는경우 (C <-> E)

cycle에 속하는 vertex가 있다면 해당 vertex는 항상 진입차수 indegree 가 1 이상이기 때문에 큐에 삽입 될 수 없습니다.
- 처음부터 진입차수가 0인 vertex가 존재하지 않는 경우

큐에 넣을 수 있는 vertex가 없기 때문에 위상 정렬이 불가능합니다.
2-2. stack(DFS) 방법
[동작 방식]
DFS 방식에서는 in-degree를 사용하지 않고 재귀 혹은 스택을 사용합니다.
- 모든 정점을 순회하면서 미방문 정점에 대해서 DFS를 수행한다.
- DFS 수행 방식
- 하나의 정점에서 시작한다.
- 방문표시를 하면서 간선을 따라 다음 정점으로 방문한다.
- 더이상 방문할 간선이 존재하지 않으면 리스트 맨 앞에 정점을 추가하고 백트래킹을 통해 이전 정점으로 되돌아가면서 미방문 간선이 있는지 체크한다.
- 방문 가능한 간선이 만약 있다면 다시 간선을 따라서 다음 정점으로 이동한다.
- 모든 정점을 탐색할 때까지 위 과정을 반복한다.

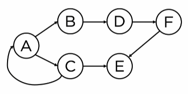
이해를 위해 다음 그림을 보겠습니다.
- DFS 역순으로 진행
앞에서 진행했던 그래프와 동일한 그래프로 진행해 보겠습니다.

- 시작은 동일하게 A vertex부터 시작
- 다음으로 이어지는 B나 C둘 중 어느 것이라도 상관 없지만 B로 선택
- A - B - D - F - E - G 순으로 방문
- 이의 역순인 G - E- F - D - B 순으로 스택에 삽입
- A노드는 아직 탐색할 노드(C)가 남아있기 때문에 스택에 삽입 하지는 않음
- A에서 C로 방문하기 때문에 이를 뒤집은 C -> A순으로 스택에 삽입
- 방문을 할 노드가 더 이상 남아있지 않다면 스택에 위에서 부터 순서대로 정렬이 된 것
- A - C - B - D - F - E - G

3. 위상 정렬 구현
queue를 이용한 구현 방법
public class GraphAlogorithms {
public static Lists<Integer> bfs(iGraph, int from) {...}
public static List<Integer> dfs(iGrpah, int from) {...}
//queue를 이용한 방법
public static List<Integer> topologicalSortIndegree(IGraph graph) {
//<vertex, indegree 갯수>
Map<Integer, Integer> indegreeCounter = graph.getIndegrees(); //1
List<Integer> result = new LinkedList<>();
IQueue<Integer> queue = new MyLinkdQueue<>();
//2
for (int v : graph.getVertexes()) {
int count = indegreeCounter.getOrDefault(v, 0);
if (count == 0) {
queue.offer(v);
}
}
while (!queue.isEmpty()) {
int node = queue.poll();
result.add(node);
for (int nn : graph.getNodes(node)) {
if(indegreeCounter.containsKey(nn)) {
int count = indegreeCounter.get(nn);
if (count - 1 == 0) {
queue.offer(nn);
}
indegreeCounter.put(nn, count - 1);
}
}
}
return result;
}
}
parameter: 그래프 타입
return 타입: List < Integer>
- 모든 vertex의 indegree 수를 세기
- 큐에 indegree가 0인 vertex(시작 노드) 삽입
- if문을 통해 indegree 가 0인 것만 큐에 삽입
- 큐에서 vertex를 꺼내 연결된(나가는 방향) edge 제거
- 시작 노드와 연결된 노드들을 하나씩 nn에 가져와 indegreecounter에 존재한다면 그 노드의 진입차수에 -1
- 실제로 edge를 제거하게 되면 그 노드를 향한 진입차수 indegree가 1이 줄어드는 것이기 때문
- 3번에서 indegree(진입차수)가 0이 된 vertex를 큐에 삽입
- 큐가 빌 때까지 3~4 반복
스택을 이용한 구현 방법
//Stack 구현
public static List<Integer> topologicalSort(IGraph graph) {
List<Integer> result = new ArrayList<>();
IStack<Integer> stack = new MyStack<>();
Set<Integer> visited = new HashSet<>();
Set<Integer> vertexes = graph.getVertexes();
for (Integer vertex : vertexes) {
if(!visited.contains(vertex)) {
//dfs
topologicalSort(graph, vertex, visited, stack);
}
}
while (stack.size() > 0) {
result.add(stack.pop());
}
return result;
}
private static void topologicalSort(IGraph graph, int vertex, Set<Integer> visited, Istack<Integer> stack) {
visited.add(veretex);
List<Integer> nodes = graph.getNodes(vertex);
for (Integer n : nodes) {
if(!visited.contains(n)) {
topologicalSort(graph, n, visisted, stack);
}
}
stack.push(vertex)
}
parameter: 탐색 그래프, vertex, visited, stack
- result: 결과를 출력하기 위한 리스트
- stack: DFS 탐색 결과를 저장하기 위한 스택
- visited: 중복 방지를 위해 방문 정보를 저장하는 Set
- 방문하지 않은 노드들에 한하여 dfs 탐색을 진행
- 노드와 연결된 노드들에 대하여 만약 방문했던 노드라면 방문하지 않고 방문하지 않은 경우에만 재귀 호출을 통해 DFS탐색을 계속해서 진행
- DFS가 종료되었을 때 stack에 vertex를 삽입
- 이러한 순서로 vertex를 역순으로 스택에 삽입 가능
- 만약 DFS 탐색을 하기 전 stack에 push를 한다면 시작 노드가 스택에 맨 처음에 삽입(정방향) 되는 경우가 생겨버림
- 스택이 빌 때까지 stack에 있는 데이터를 하나씩 출력
관련된 Post
'CS 지식 > 자료구조와 알고리즘(Java)' 카테고리의 다른 글
| [자료구조 | Java] Trie(트라이) (0) | 2022.12.28 |
|---|---|
| [Algorithm | Java] Shell Sort(셸 정렬) 알고리즘 (1) | 2022.12.28 |
| [Algorithm | Java] Greedy Algorithm(그리디 알고리즘) (0) | 2022.12.28 |
| [Algorithm | Java] 너비 우선 탐색(BFS)(그래프 탐색) 알고리즘 (0) | 2022.12.28 |
| [Algorithm | Java] Dijkstra Algorithm(다익스트라 알고리즘) (0) | 2022.12.28 |
소중한 공감 감사합니다